Verification

Verification of AMR-WIND uses MASA and auto-differentiation tools to implement the Method of Manufactured Solutions. MMS verification has been performed for both CPU and GPU architectures.

Building and linking MASA

The user must first build and install MASA. This can be done from source or using Spack.

Building MASA from source

The user must build both Metaphysicl and MASA. After defining METAPHYSICL_ROOT_DIR and MASA_ROOT_DIR:

$ git clone https://github.com/roystgnr/MetaPhysicL
$ ./bootstrap
$ ./configure --prefix=$METAPHYSICL_ROOT_DIR
$ make
$ make install
$ git clone https://github.com/manufactured-solutions/MASA
$ ./bootstrap
$ ./configure --enable-fortran-interfaces METAPHYSICL_DIR=$METAPHYSICL_ROOT_DIR --prefix=$MASA_ROOT_DIR --enable-python-interfaces
$ make
$ make check
$ make install

Building MASA using Spack

Assuming the user has Spack configured for their system, building and installing MASA is as easy as:

$ spack install masa

Linking MASA to Kynema-SGF

The following CMake options enable MASA in Kynema-SGF:

-DKYNEMA_SGF_ENABLE_MASA=ON -DMASA_DIR=$MASA_ROOT_DIR

where MASA_ROOT_DIR is the MASA install location.

Performing the MMS verification

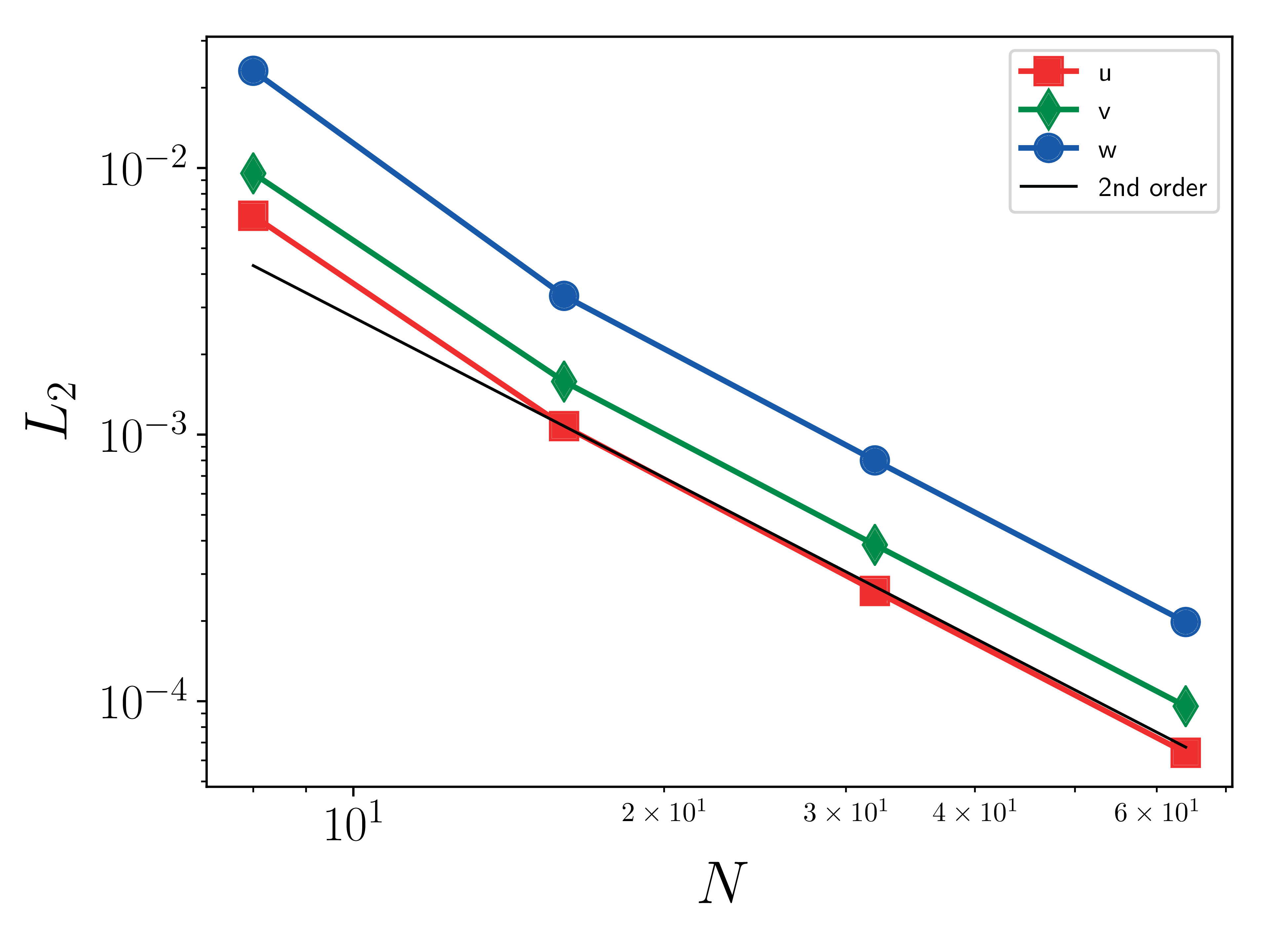
For an MMS verification study, one performs a convergence study using an MMS input file, several examples of which can be found in the regression test suite. The velocity errors are computed after each time step and logged to a text file named mms.log. The following results for the Godunov FV method exhibit the expected second order accuracy:

  • Velocity (u, v, w) \(L_2\) error norms:

../_images/mms_error.png

The \(L_2\) error norm for a quantity \(s\) is defined as

\[e_s = \sqrt{ \frac{\sum_{i=1}^{N_e} \int_{V_i} (s^h-s^*)^2 \mathrm{d}V}{\sum_{i=1}^{N_e} \|V_i\|}}\]

where \(s^h\) is the numerical solution, \(s^*\) is the exact solution, and \(N_e\) is the number of elements. \(N\), used below, is the number of element on a side of the cube (\(N_e = N^3\)).

Convecting Taylor Vortex (CTV)

An exact solution to the incompressible Navier-Stokes equations is the Convecting Taylor Vortex (CTV) which can also be used to test the order of accuracy. This exact solution is two dimensional, viscous, unsteady and uses periodic boundary conditions. The exact solution is

\[u(x,y) = u_0 - \cos(\pi (x-u_0 t)) \sin(\pi(y-v_0 t)) e^{-2\omega t}\]
\[v(x,y) = v_0 - \sin(\pi (x-u_0 t)) \cos(\pi(y-v_0 t)) e^{-2\omega t}\]

where \(\omega = \pi^2 \nu\) and \(\nu\) is the viscosity. Simulating the CTV to a fixed time of 0.2 seconds the \(L_2\) error is measured over a set of grids with varying mesh resolution. This is performed for two CFL numbers and shown in the figure:

../_images/ctv_error.png

Ekman spiral

Solution method adapted from this Ekman lecture. Ekman assumed steady, homogeneous and horizontal flow with friction on a rotating Earth. Hence, the horizontal and time derivatives are zero.

\[\frac{\partial}{\partial t} = \frac{\partial}{\partial x} = \frac{\partial}{\partial y} = 0\]

This leave a balance between vertical friction and the Coriolis force:

\[-fv = A_z \frac{\partial^2 u}{\partial z^2} (1)\]
\[fu = A_z \frac{\partial^2 v}{\partial z^2} + f u_g (2)\]

where \(A_z\) is the eddy viscosity assumed to be constant throughout the boundary layer. If we multiply (2) by \(i\) and add to (1) we get:

\[ifu - fv = \frac{\partial^2 \left( u + iv) \right)}{\partial z^2}\]

where \(i = \sqrt{-1}\), rearranging the left hand side to get \(u+iv\)

\[if(u+iv) = \frac{\partial^2 \left( u + iv) \right)}{\partial z^2}\]

Next we define \(V = u+iv\) and substitute that in:

\[\frac{\partial^2 V}{\partial z^2} - a^2 V = -a^2 u_g\]

where \(a = \sqrt{\frac{if}{A_z}}\). The solution to this constant coefficient second-order differential equation is:

\[V = Ae^{az} + Be^{-az} + u_g\]

The boundary conditions for this flow are \(z=0, u=v=0\) and at \(z \rightarrow \infty, u \rightarrow u_g, v \rightarrow 0\) therefore \(A=0\)

\[V = B e^{-az} + u_g\]

where \(B = \hat{B}e^{i\phi}\) and \(\phi\) is the angle of the velocity to the wind. Now separating into real and imaginary parts:

\[a = \sqrt{\frac{if}{A_z}} = \sqrt{i} \sqrt{\frac{f}{A_z}} = \frac{1+i}{\sqrt{2}} \sqrt{\frac{f}{A_z}} = \left(1+i \right) \sqrt{\frac{f}{2 A_z}} = \frac{1+i}{D_E}\]

where \(D_E = \sqrt{\frac{2 A_z}{f}}\) is the Ekman depth.

\[V = \hat{B} e^{i\phi} e^{-(1+i)z/D_E} + u_g\]

rearranging

\[V = \hat{B} e^{-z/D_E} e^{i \left(\phi-z/D_E \right)} + u_g\]

using Euler’s identity \(e^{i\theta} = \cos(\theta) + i \sin(\theta)\) we can split this into real and imaginary parts

\[V = \hat{B} e^{-z/D_E} \left [ \cos(\phi-z/D_E ) + i \sin(\phi-z/D_E ) \right ] + u_g\]
\[u = \hat{B} e^{-z/D_E} \cos(\phi-z/D_E ) + u_g\]
\[v = \hat{B} e^{-z/D_E} \sin(\phi-z/D_E )\]

apply the boundary conditions \(u(0) = 0\),

\[\hat{B} + u_g = 0 \rightarrow \hat{B} = -u_g\]

simplifying further we arrive at the Ekman spiral solution

\[u = u_g\left [1- e^{-z/D_E} \cos(\phi-z/D_E ) \right]\]
\[v = u_g e^{-z/D_E} \sin(\phi-z/D_E )\]

Velocity profiles of AMR-wind with a Geostrophic wind of 15 m/s

../_images/ekman_spiral_velocity.pdf

Wind direction \(\tan^{-1}(v/u) \frac{180}{\pi}\)

../_images/ekman_spiral_wind_direction.pdf

AMR-wind \(L_2\) error after \(t=200\) seconds.

../_images/ekman_spiral_error.pdf

Channel flow (laminar, quasi-2D) with different BCs

These tests use the Poiseuille flow solution for a channel to verify the implementation of the boundary conditions. Input files for these tests are included among the regression test directories.

AMR-wind \(L_2\) error for whole channel after velocity field has converged to steady state. This evaluates the no-slip boundary conditions at the top and bottom of the domain. Results are identical for different normal directions and flow directions (x, y, and z).

../_images/Channel_Laminar.png

AMR-wind \(L_2\) error for half-channel after velocity field has converged to steady state. At the upper boundary, the zero-gradient and symmetric wall boundary conditions are employed.

../_images/HalfChannel_Laminar.png

Burggraf flow: lid-driven cavity with body force

This flow, described by Burggraf (JFM, 1966), is a two-dimensional flow with no-slip walls. The upper wall has a spatially-varying tangential velocity (which is applied to the simulation via a user-defined-function, or UDF, boundary condition), and a spatially-varying body force. At steady state, this flow has an analytical solution that we use to verify the implementation of the UDF BC.

../_images/Burggraf_error.png

Channel flow with Smagorinsky LES

This test verifies the implementation of the Smagorinsky LES model as well as the wall model boundary conditions using an analytical channel flow solution.

Smagorinsky model:

\[\nu_t = C_s^2 (2 \langle S_{ij} S_{ij} \rangle)^{\frac{1}{2}} \Delta^2\]

This simplifies in a 1-D case to

\[\nu_t = C_s^2 \Delta^2 \lvert \frac{\partial U}{\partial z} \rvert\]

Mean velocity equations:

\[\frac{\partial U}{\partial t} = -\frac{\mathrm{d} P}{\mathrm{d} x} + \left(\nu + C_s^2 \lvert \frac{\partial U}{\partial z} \rvert \Delta^2 \right) \frac{\partial^2 U}{{\partial z^2}}\]

Steady state solution (assuming \(\frac{\partial U}{\partial z} > 0\)):

\[0 = -\frac{\mathrm{d} P}{\mathrm{d} x} + \left(\nu + C_s^2 \frac{\partial U}{\partial z} \Delta^2 \right) \frac{\partial^2 U}{{\partial z^2}}\]

The analytical solution is:

\[U = -\frac{\nu}{C_s^2 \Delta^2} z + \frac{C_s^2 \Delta^2}{3 \frac{\mathrm{d} P}{\mathrm{d} x}} \left( \frac{2}{C_s^2 \Delta^2} \frac{\mathrm{d} P}{\mathrm{d} x} z + \left(\frac{\nu}{C_s^2 \Delta^2}\right)^2 + \mathcal{C}_1 \right)^{\frac{3}{2}} + \mathcal{C}_0\]

where \(\mathcal{C}_i\) are arbitrary constants.

To solve for \(\mathcal{C}_1\), we set the requirement that \((\nu+\nu_t)\frac{\partial U}{\partial z}\Bigg\vert_{z=0} = -\frac{\partial P}{\partial x}\) using

\[\begin{split}\begin{aligned} \frac{\partial U}{\partial z} &= -\frac{\nu}{C_s^2 \Delta^2} + \left( \frac{2}{C_s^2 \Delta^2} \frac{\mathrm{d} P}{\mathrm{d} x} z + \left(\frac{\nu}{C_s^2 \Delta^2}\right)^2 + \mathcal{C}_1 \right)^{\frac{1}{2}} \\ \end{aligned}\end{split}\]

This gives us a value for \(\mathcal{C}_1\) as

\[\mathcal{C}_1 = \frac{1}{2} \left(-\left(\frac{\nu}{C_s^2\Delta^2}\right)^2 - \frac{2}{C_s^2\Delta^2} \frac{\mathrm{d} P}{\mathrm{d} x} + \left(\left(\frac{\nu}{C_s^2\Delta^2}\right)^4 + 4\left(\frac{\nu}{C_s^2\Delta^2}\right)^2 \left(-\frac{\mathrm{d} P}{\mathrm{d} x} \frac{1}{C_s^2 \Delta^2}\right)\right)^{\frac{1}{2}}\right)\]

Using this \(\mathcal{C}_1\) and setting \(U(z=0)=0\), we get \(\mathcal{C}_0\) as:

\[\mathcal{C}_0 = - \frac{C_s^2 \Delta^2}{3 \frac{\mathrm{d} P}{\mathrm{d} x}} \left( \left(\frac{\nu}{C_s^2 \Delta^2}\right)^2 + \mathcal{C}_1 \right)^{\frac{3}{2}}\]

Finally, to make this problem well-posed, instead of setting a slip-wall at the top boundary, we set a Dirichlet boundary condition using \(U(z)\) computed at \(z_{\mathrm{hi}}\).

Parameter values for testing

\[\begin{split}\begin{aligned} \nu &= 3.5e-3\\ \frac{\mathrm{d} P}{\mathrm{d} x} &= -0.003969\\ C_s &= 0.1\\ \Delta &= \frac{1}{n_z} \end{aligned}\end{split}\]

The hand computed values for the constants and boundary conditions for varying \(n_z\) are:

\(n_z\)

\(\mathcal{C}_0\)

\(\mathcal{C}_1\)

\(U\vert_{z=1}\)

8

169.90632344067848

49.63299783004268

0.5322727144609587

16

2449.4399999999982

201.95839999999998

0.5576738677495996

32

38115.76743991355

811.5733178848386

0.5646234542509774

64

605551.4603806001

3250.1208744082833

0.5664029656909406

Test results

These are results of running the test case for 100 seconds.

../_images/channel_smagorinsky.png